Lompat ke konten Lompat ke sidebar Lompat ke footer
close

In Reperul Cartezian Xoy Se Considera Punctele

In Reperul Cartezian Xoy Se Considera Punctele

E sesiunea speciala din 2017, nu? Sa se determine coordonatele vectorul oa+ob.

Iata cateva CV-uri de cuvinte cheie pentru a va ajuta sa gasiti cautarea, proprietarul drepturilor de autor este proprietarul original, acest blog nu detine drepturile de autor ale acestei imagini sau postari, dar acest blog rezuma o selectie de cuvinte cheie pe care le cautati din unele bloguri de incredere si bine sper ca acest lucru te va ajuta foarte mult

Determinați ecuația dreptei paralele cu dreapta ac și care trece prin mijlocul segmentului cd, unde punctul d este mijlocul segmentului ab. Daca am un vector v(4,5).ma duc pe grafic pun un punct (4,5) si duc o sageata din origine la punctul respectiv.asta e un exemplu, asa. Să se determine vectorul de poziţie a punctului c astfel încât punctul g să fie centru de greutate al triunghiului.

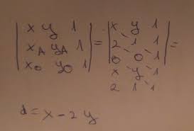
Vectoricartezian
vizitati articolul complet aici : https://www.scribd.com/doc/52877807/vectoricartezian
Determinati ecuatia dreptei care trece prin punctul a si este perpendiculara pe dreapta d. În reperul cartezian xoy se consideră punctele şi. A fost răspuns • verificat de expert.

In reperul cartezian xoy se considera punctele m(1, 2) si n(2, 1).

Patru puncte sunt marcate și etichetate cu coordonatele lor: În reperul cartezian xoy se consideră punctele a b (2,5 , 1,3 ) ( ) și c m( ,1), unde m este număr real. Să se determine vectorul de poziţie a punctului c astfel încât punctul g să fie centru de greutate al triunghiului.

Timpul efectiv de lucru este de 3 ore. Determinați numărul real m , știind că punctul c aparține dreptei ab. In reperul cartezian xoy se considera punctele m(1, 2) si n(2, 1).

Matematica Roata Aleatoare
vizitati articolul complet aici : https://wordwall.net/ro/resource/2576307/matematica
Determinati ecuatia dreptei care trece prin punctul a si este perpendiculara pe dreapta d. Sa se determine ecuatia dreptei mn. La toate subiectele se cer rezolv ri cu solu ii complete subiectul i ( 20p ).

Se aseaza punctele în sistemul xoy si apare semnalizarea pentru corecta sau incorecta poziţionare.

Se construiesc punctele a(3,2) si b(2,3), iar lungimea segmentului ab este √2. Sa se determine coordonatele vectorul oa+ob. Fie un reper cartezian xoy, formula distantei dintre doua puncte in plan este folosita pentru a calcula lungimea segmentului determinat de cele distanţa între două puncte in plan.

Se aseaza punctele în sistemul xoy si apare semnalizarea pentru corecta sau incorecta poziţionare. Timpul efectiv de lucru este de 3 ore. (in reperul cartezian xoy se considera punctele o(0, 0),a(5,1),b(3,5).calculati lungimea medianei din varful o in triunghiul oab!

Proportii Derivate Page 1 Line 17qq Com
vizitati articolul complet aici : https://line.17qq.com/articles/srsqqsesax.html
Să se calculeze aria triunghiului. In reperul cartezian xoy se considera vectorii. Determinati coordonatele punctului c care apartine dreptei d pentru care ca=cb.

La toate subiectele se cer rezolv ri cu solu ii complete subiectul i ( 20p ).

Determinați ecuația dreptei paralele cu dreapta ac și care trece prin mijlocul segmentului cd, unde punctul d este mijlocul segmentului ab. ) ma puteti ajuta si pe mine? In reperul cartezian xoy se considera punctele a(1,1) b(4,1).

Posting Komentar untuk "In Reperul Cartezian Xoy Se Considera Punctele"